Karachi, September 2025 – The much-awaited Rs. 25,000 premium prize bond draw (Draw No. 19) was held in Karachi on September 10, 2025. The National Savings Pakistan officially released the winners’ list, bringing joy to thousands of bondholders across the country.
This prize bond is considered one of the most valuable savings instruments in Pakistan, offering both investment security and the opportunity to win life-changing cash prizes.
Rs. 25,000 Prize Bond September 2025 – Prize Details
According to the official announcement:
-
🥇 1st Prize: Rs. 30,000,000 each – 2 Winners
-
🥈 2nd Prize: Rs. 10,000,000 each – 5 Winners
-
🥉 3rd Prize: Rs. 300,000 each – 700 Winners
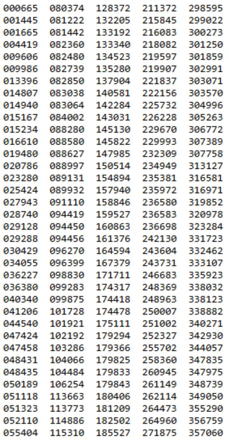
Rs. 25,000 Prize Bond September 2025 Winners List
The full winners’ list has been released by National Savings. Below is the official image containing the lucky bond numbers:
📌 September 2025 Winner List (Rs. 25,000 Prize Bond)

Holders of these bond numbers can now verify their winnings and claim prizes through designated National Savings Centers or State Bank branches.
How to Claim Your Rs. 25,000 Prize Bond Winnings
Winners must follow the official process to receive their prize money:
-
Visit a State Bank of Pakistan or National Savings Branch
-
Submit Original Prize Bond with CNIC copy and prize claim form
-
Receive Prize After Tax Deduction – as per government policy, tax is deducted before disbursement
⚠️ Note: All prize claims must be made within 6 years of the draw date.
Why Rs. 25,000 Prize Bond Is Popular
-
Safe Investment: Backed by the Government of Pakistan
-
Regular Draws: Held quarterly, giving multiple chances to win
-
Profit & Prizes: Registered premium bonds also provide profit on investment in addition to prize draw eligibility
-
Transparency: Draws are conducted under the supervision of National Savings
FAQs – Rs. 25,000 Prize Bond Draw September 2025
Q1: When was the Rs. 25,000 prize bond draw held?
The draw was held on September 10, 2025, in Karachi.
Q2: What is the 1st prize amount?
Two lucky winners each received Rs. 30 million.
Q3: How many winners got the 2nd prize?
Five winners received Rs. 10 million each.
Q4: How many winners got the 3rd prize?
A total of 700 winners, each receiving Rs. 300,000.
Q5: How can I claim my prize money?
Submit your original bond, CNIC, and claim form at State Bank or National Savings branches.
Final Thoughts
The Rs. 25,000 Prize Bond Draw for September 2025 has brought life-changing opportunities for lucky winners. With prizes worth millions of rupees, this scheme continues to be one of Pakistan’s most trusted savings and investment options.
📢 If you own a Rs. 25,000 prize bond, check your number carefully in the list above and claim your prize without delay!